Hat Matrix Of Logistic Regression

Information Out Of The Hat Matrix For Logistic Regression Cross Validated

Information Out Of The Hat Matrix For Logistic Regression Cross Validated

Logistic Regression

Logistic Regression

Using The Hat Matrix To Detect Influential Observations In Logistic Regression Cross Validated

Using The Hat Matrix To Detect Influential Observations In Logistic Regression Cross Validated

Logistic Regression Machine Learning Tutorial

Logistic Regression Machine Learning Tutorial

Logistic Regression

Logistic Regression

Logistic Regression

Logistic Regression

Logistic Regression

One example of an appropriate application of Poisson regression is a study of how the colony counts of bacteria are related to various environmental conditions and dilutions.

Hat matrix of logistic regression. If one of the predictors in a regression model classifies observations into more than two. The hat matrix of a logistic regression model is less clear to me. H ˆV1 2XXTˆVX 1XTˆV1 2.

This is the definition of the hat matrix I found on another topic of CV source 1. Now when I compare this hat matrix with the one in linear regression. This suite of functions can be used to compute some of the regression leave-one-out deletion diagnostics for linear and generalized linear models discussed in Belsley Kuh and Welsch 1980 Cook and Weisberg 1982 etc.

Estimated Covariance Matrix of b This matrix b is a linear combination of the elements of Y. For a binary response logit model the hat matrix diagonal elements are If the estimated probability is extreme less than 01 and greater than 09 approximately then the hat. In a controlled experiment to study the effect of the rate and volume of air intake on a transient reflex vasoconstriction in the skin of the digits.

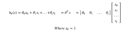
For each training data-point we have a vector of features x i and an observed class y i. The hat matrix Introduction After a model has been t it is wise to check the model to see how well it ts the data In linear regression these diagnostics were build around residuals and the residual sum of squares In logistic regression and all generalized linear models there are two kinds of residuals and thus two kinds of residual sum. Logistic regression is a predictive analysis technique used for classification problems.

In this module we will discuss the use of logistic regression what logistic regression is the confusion matrix and the ROC curve. Logistic Regression I The Newton-Raphson step is βnew βold XTWX1XTy p XTWX1XTWXβold W1y p XTWX1XTWz where z Xβold W1y p. Toward the end we will build a logistic regression.

Binary logistic regression residuals and hat matrix diagonal elements for BDHS-2004. The index plot of the diagonal elements of the hat matrix Output 5163. βnew argmin β zXβTWzXβ.

Loss Function Part Ii Logistic Regression By Shuyu Luo Towards Data Science

Loss Function Part Ii Logistic Regression By Shuyu Luo Towards Data Science

Logistic Regression

Logistic Regression

Python Logistic Regression Principle Derivation Sklearn Application

Python Logistic Regression Principle Derivation Sklearn Application

Loss Function Part Ii Logistic Regression By Shuyu Luo Towards Data Science

Loss Function Part Ii Logistic Regression By Shuyu Luo Towards Data Science

Chapter 5 Logistic Regression Methods In Biostatistics

Chapter 5 Logistic Regression Methods In Biostatistics

Logistic Regression

Logistic Regression

Logistic Regression Python Explained Using Practical Example Databasetown

Logistic Regression Python Explained Using Practical Example Databasetown

Logistic Regression With Stata Chapter 1 Introduction To Logistic Regression With Stata

Logistic Regression With Stata Chapter 1 Introduction To Logistic Regression With Stata

What Is The Difference Between Linear Classification And Logistic Regression Quora

What Is The Difference Between Linear Classification And Logistic Regression Quora

What Is Logistic Regression And What Are Its Advantages Over Linear Regression Quora

What Is Logistic Regression And What Are Its Advantages Over Linear Regression Quora

What Is Logistic Regression Quora

What Is Logistic Regression Quora

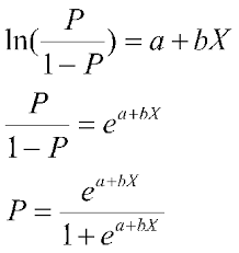
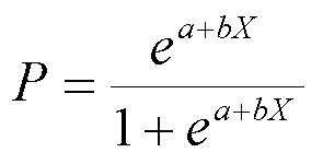
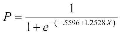
Logistic Regression Spss Annotated Output

Logistic Regression Spss Annotated Output

Loss Function Part Ii Logistic Regression By Shuyu Luo Towards Data Science

Loss Function Part Ii Logistic Regression By Shuyu Luo Towards Data Science

Understanding Logistic Regression Its Implementation Using Python By Pramodaiml Predict Medium

Understanding Logistic Regression Its Implementation Using Python By Pramodaiml Predict Medium

Source : pinterest.com